Качество кожи и скинбустеры в эстетической медицине. Экспертный обзор

17.03.2020
Статья
14480
4 мин на прочтение
Статья
17.03.2020
14480
4 мин на прочтение
В статье рассказывается о применении скинбустеров для восстановления кожи, их отличии от биоревитализантов и филлеров, а также о наиболее эффективных техниках выполнения инъекций.

Гладкость, эффект «сияния», равномерность тона, отсутствие пигментации – атрибуты здоровой и красивой кожи. Чтобы предоставить потребителю такой результат косметические концерны предлагают большое количество декоративной «камуфляжной» косметики. Но если быть объективным, то наружное применение разглаживающих и тонирующих косметических средств не сможет заменить современных методов эстетической медицины по омоложению, направленных на оздоровление кожи.

Не существует абсолютно точного определения, что такое здоровая кожа. С точки зрения дерматологии, здоровая кожа включает в себя следующие характеристики:

  • Гладкость
  • Упругость
  • Увлажненность
  • Отсутствие пигментации и телеангиоэктазий
  • Отсутствие морщин и складок
  • Отсутствие рубцовых деформаций.

Мы рождаемся со здоровой кожей. В течение жизни происходит накопление негативного влияния факторов внешней среды, включая УФ-излучение, климатические факторы и гравитацию. Наследственность, вредные привычки, перенесенные или хронические заболевания, лекарственные препараты, ряд т. н. масс-маркет косметических средств ухода за кожей в комплексе оказывают влияние на качественные характеристики кожи. Упругость, эластичность, гидратация и тургор кожи снижаются с возрастом, что приводит к появлению морщин и складок, дряблости, сухости, пористости, обвисанию (птозу). Признаки фотостарения – тусклость, неравномерная пигментация, шероховатость, кератоз с каждым десятилетием усиливаются при отсутствии должной защиты от солнечного облучения1.

В коррекции возрастных изменений кожи используется целый ряд разнонаправленных инъекционных и аппаратных методов, включая филлеры (наполнители тканей), ботулотоксин, мезотерапию, лазер, интенсивный импульсный свет (IPL), радиочастотное облучение (RF), микросфокусировнный ультразвук (HIFU-технологии). Наилучшие результаты достигаются благодаря комбинированной терапии, включающей два и более из названных методов в комбинации с химическими пилингами и\или индивидуально подобранной по типу кожи специализированной дерматокосметикой (т. н. космецевтикой).

Омоложение и улучшение качества кожи открытых участков кожи (лицо, шея, декольте, кисти) представляет собой сложную задачу, поскольку восстановление ее уникальных качеств подразумевает многоступенчатый процесс с грамотным выбором способов эстетической коррекции. Одним из самых изученных и популярных методов оздоровления кожи, используемых уже 15 лет, стал инъекционный метод применения скинбустеров.

Скинбустеры Restylane® – что это такое?

Скинбустер (от англ. skinbooster – букв. кожный «усилитель» или укрепляющий кожу).

Слово «скинбустеры» впервые было введено компанией-производителем линейки Рестилайн® (Restylane®, Q-Med, Швеция) в 2006 году. Филлеры Рестилайн® (наполнители, внутрикожные имплантаты) имеют доказанную клиническую эффективность и благоприятный профиль безопасности при коррекции возрастных изменений кожи лица. Они уже 20 лет успешно используются в 80 странах мира! Появление нового продукта Рестилайн Витал (Restylane® Vital) в линейке известного бренда, созданного также на основе стабилизированной гиалуроновой кислоты, было связано с научным поиском эффективного препарата для ревитализации, т. е. профилактики «увядания» кожи, коррекции первых признаков старения, для сухой, стареющей кожи лица, шеи, декольте и тыльной поверхности кистей, коррекции рубцов постакне [Olenius M.,1998; Kerscher M., Eiben-Nielson C., Kleine-Boerger L., Haas H., 2017; M.Landau, 2019].

Инъекции геля стабилизированной гиалуроновой кислоты (сГК, технологии NASHA™) Restylane® Vital и Restylane® Vital Light, содержащие 20 и 12 мг/мл сГК, успешно используются для омоложения и улучшения качества кожи лица с 2005 года. С момента появления этих инъекционных препаратов на мировом рынке опубликованы результаты более 15 различных международных исследований, в том числе плацебо-контролируемых и сравнительных, демонстрирующих доказанную эффективность и хороший профиль безопасности методики, длительное улучшение качественных характеристик кожи – эластичности, гидратации и текстуры.

В каком возрасте проводятся инъекции скинбустерами?

Поскольку возрастные изменения лица в среднем начинаются с 25 лет, процедуры ревитализации кожи скинбустерами, направленные на улучшение ее качества, можно применять уже в этом возрасте и продолжать на протяжении всей жизни для поддержания результата.

В особых случаях, если кожа лица и красной каймы губ сухая, ревитализация может проводиться с 18–20 лет.

При коррекции рубцов постакне рекомендуется начинать инъекции в период ремиссии после 18 лет.

Собственные исследования по скинбустерам

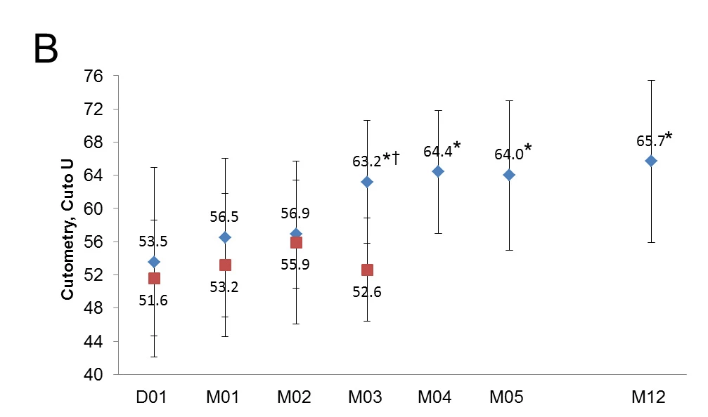
В собственных опубликованных работах (в двойном слепом плацебо-контролируемом исследовании по изучению эффективности внутрикожных инъекций скинбустеров) нами показана высокая клиническая эффективность трехкратного введения геля Restylane® Vital со сГК (20 мг/мл), длительное повышение эластичности и гидратации кожи лица, шеи и тыльной поверхности кистей. Постепенное и значимое улучшение показателей кутометрии и профилометрии зарегистрировано с третьего по пятый месяц, которые сохранялись до 12 месяцев наблюдения [Gubanova E. и соавт., 2015] (Рис. 1-3).

На наш взгляд, этот нарастающий эффект улучшения биомеханических свойств кожи связан со стимуляцией неоколлагенеза, фенотипическим ответом фибробластов на присутствие инъекционной ГК в дерме, что подробно описано в работе Wang F. и соавт. в 2007 г.

Рис. 1. Фотография пациента до и после.

...
До
...
После

Рис. 2. Фотография рук 50-летней пациентки.

...
До процедуры
...
Через 3 месяца после процедуры с применением физ.раствора
...
До процедуры
...
Через 3 месяца после процедуры с применением препарата на основе стабилизированной гиалуроновой кислоты 20мг/мл

Рис. 3. График увлажненности и эластичности кожи рук до процедуры, через 1, 2, 3, 4, 5 и 12 месяцев.

*p<0.05, в сравнении с D01; †p<0.05, в сравнеии с физ.раствором.

...
Средний показатель увлажненности (± SD,), корнеометрия (D01–M05: n=30, M12: n=22).
...
Средний показатель эластичности (± SD), кутометрия (D01–M05: n=30, M12: n=22).

Какие эффекты наблюдаются после проведения процедуры ревитализации со скинбустерами Restylane®?

  • Улучшается рельеф кожи
  • Повышается упругость
  • Восстанавливается эластичность
  • Возвращается здоровый цвет лица
  • Ускоряется регенерация клеток
  • Устраняются поверхностные мелкие морщины

Разница между биоревитализацией и ревитализацией скинбустерами

Задачи у обеих методик одни – улучшить внешний вид кожи и ее качество, в т. ч. повысить эластичность и увлажненность. И хотя в обоих случаях используется гиалуроновая кислота, техники и результаты отличаются. Биоревитализация – одна из самых популярных процедур, особенно в российской косметологической практике, широко используемая многими врачами. Она дает быстрый эффект поверхностного увлажнения кожи. Биоревитализацию проводят препаратами на основе нестабилизированной ГК (нсГК) в основном в технике поверхностных эпидермальных папул 1–1,5 мм глубиной.

Ревитализация скинбустерами на основе стабилизированной ГК (сГК) отличается более глубоким введением препаратов в дерму или гиподерму (2–3 мм) игольной (папульной, линейной, коротко-линейной) или канюльной техниками. Но основная разница с описанной выше процедурой биоревитализации – это длительность присутствия препарата на основе сГК в дерме и, соответственно, в получаемом эффекте.

В связи с тем, что нсГК быстро биодеградирует в организме (разрушается ферментом гиалуронидазой), действие биоревитализантов кратковременное. Скинбустеры, имея в своем составе сГК, оказывают длительный и «накопительный» эффект, и, согласно клиническим данным, даже после одной процедуры ревитализации он сохраняется до полугода. А повторные инъекции сГК, обычно их проводят через месяц, улучшают эффект от предыдущих, усиливая эластичность, улучшая гидратацию и разглаживая рельеф кожи, оптимизируя результат оздоровления кожи. Кожа становится более упругой, увлажненной, разглаживаются поверхностные морщинки, улучшается цвет, тургор, сокращаются поры, в целом выравнивается рельеф и улучшается качество кожи [Williams S. и.соавт., 2009; Landau M. и соавт., 2015].

Разница между скинбустерами, биоревитализантами и филлерами

Скинбустеры находятся между биоревитализантами, содержащими нестабилизированную ГК, и рассасывающимися в течение нескольких часов или дней, и филлерами, которые, напротив, сохраняются в тканях длительно, в частности Restylane® 12–18 месяцев [Narins R. и соавт., 2008; Narins R. и соавт., 2011], и представляют собой плотные гели, обеспечивающие объемное наполнение тканей. Первые в мире филлеры линейки Restylane® на основе сГК используются уже более 25 лет и считаются самыми широко изученными наполнителями (имплантатами) для лица, инъекции которых направлены на устранение зон возрастных депрессий (морщины и складки) и улучшение контуров – увеличения губ, скул и подбородка.

Скинбустеры на основе сГК подходят для «ювелирного» внутридермального и подкожного введения в зоне лица, шеи, декольте и тыльной поверхности кистей. В отличие от филлеров, которые наполняют ткани в зоне складок и морщин, скинбустеры имея особую микроструктуру (мелкие, одинакового размера частички геля), равномерно микродозами распределяясь в дерме, взаимодействуют с клетками кожи, увлажняют и омолаживают ее, как ревитализанты (с лат. яз. «ре» – возвращение, «вита» – жизнь). При введении скинбустера-ревитализанта внутрикожно происходит быстрое встраивание молекул гиалуроновой кислоты между клетками, а в места, где был дефицит ткани и образовалась поверхностная морщина или имелся поверхностный рубчик (например постакне), гель мгновенно выравнивает рельеф, восполняя недостающий объем. Причем встраиваются эти имплантаты в кожу настолько естественно, что после проведения процедуры создается впечатление, подобное работе профессионала с «Фотошопом». Кожа становится более гладкой и «сияющей» (за счет оптического эффекта отражения света от более гладкой поверхности)! Скинбустеры не только естественно заполняют морщины, но и стимулируют фибробласты на выработку собственного коллагена, т. е. эффект, как правило, сохраняется еще в течение 6–12 месяцев [Gubanova E. и соавт., 2015].

Где производятся скинбустеры Restylane® и какие препараты представлены в России?

Скинбустеры Restylane® производятся в Швеции на крупном специализированном фармацевтическом предприятии Q-Med, принадлежащем швейцарской компании Galderma.

В России скинбустеры Restylane® представлены двумя препаратами, упаковка которых защищена голограммой:

  • Restylane® Vital (Рестилайн Витал) с содержанием стабилизированной ГК 20 мг/мл, препарат предназначен для проведения процедур ревитализации согласно инструкции по применению.
  • Restylane® Vital Light (Рестилайн Витал Лайт) с содержанием стабилизированной ГК 12 мг/мл, препарат предназначен для проведения процедур ревитализации в областях с более тонкой кожей, в деликатных зонах вокруг глаз и губ.

Какие существуют рекомендации по проведению процедур со скинбустерами Restylane® и кто может выполнять эти манипуляции?

Оба препарата (Restylane® Vital и Restylane® Vital Light) имеют по два варианта исполнения: с анестетиком лидокаином (для обезболивающего эффекта) и без лидокаина. С целью повышения комфортности процедуры и устранения болезненности инъекций за 30–40 минут наносится наружный анестетик. В настоящее время процедуры ревитализации кожи лица и др. открытых частей тела (шеи, декольте, кистей) со скинбустерами Restylane® широко применяются во всем мире и в нашей стране, в частности. Они проводятся с использованием двух протоколов: ставшего уже классическим - это 3 процедуры с введением 1 мл препарата каждый раз с интервалом в 3–4 недели [Kersher M. и соавт., 2008; Gubanova E., Starovatova P. и соавт., 2010] и новый протокол – это 2 процедуры с введением 2 мл препарата первоначально и 1 мл препарата через 4 недели [Kersher M. и соавт., 2017]. Отмечается высокая удовлетворенность пациентов при проведении курса процедур со скинбустерами Restylane® [Kerscher М. и.соавт., 2008; Gubanova E. и соавт., 2010, 2015].

Скинбустеры Restylane® можно комбинировать с другими эстетическими методиками, например, с лазерными, для получения лучшего результата ревитализации кожи лица и шеи [Ribe и соавт., 2011; Volkova N. и соавт., 2018], а также скинбустеры Restylane® успешно применяют для коррекции постакне рубцов [Halachmi S. b соавт., 2013; Dierickx C. и соавт., 2015, 2016].

Противопоказания к применению скинбустеров Restylane® – стандартные, как и для других инъекционных процедур, используемых в эстетической медицине. Как клиническая эффективность, так и профиль безопасности данных препаратов, как уже отмечалось выше, хорошо изучены за длительный срок их применения с 5,5 млн процедур в мире. Возможные нежелательные эффекты, согласно имеющимся данным, в основном проявляются в местах проведения инъекций (небольшие гематомы, эритема, болезненность и т. д.), являются транзиторными и носят незначительный характер по своей выраженности [Kerscher М. и соавт., 2008; Gubanova E. и соавт., 2010, 2015; Belmontesi M. и соавт., 2018].

Необходимо отметить, что процедуры ревитализации со скинбустерами Restylane® проводит врач, имеющий специализацию по дерматологии и косметологии, специально обученный сертифицированными тренерами от компании-производителя или официального дистрибьютора.

Скинбустер центр

Образовательный Скинбустер центр основан на базе клиники «Валлекс Мед» под руководством д.м.н., профессора Е. И. Губановой в 2016 г. Ежегодно в этом Центре обучаются и проходят практическую стажировку более 100 врачей.

В Центре на постоянной основе проводятся обучения специалистов-дерматологов и косметологов с разбором научно-практического портфолио по скинбустерам, демонстрацией различных техник введения препаратов Рестилайн Витал, Рестилайн Витал Лайт, Рестилайн Витал с лидокаином, Рестилайн Витал Лайт с лидокаином у пациентов разных возрастных групп и отработкой навыков с персональной постановкой руки.

В «Валлекс Мед» совместно с кафедрой кожных и венерических болезней с курсом косметологии Медицинского института непрерывного образования ФГБОУ ВО МГУПП проведено 5 клинико-инструментальных исследований по изучению эффективности применения скинбустеров для улучшения качества кожи, включая плацебо-контролируемое исследование в области тыльной поверхности кистей, сравнительное изучение игольной и канюльной техник в области лица, изучение эффективности Рестилайн Витал Лайт в деликатных зонах вокруг глаз и на шее, красной каймы губ. Отдаленные результаты наблюдения за пациентами продемонстрировали высокий профиль безопасности данной методики омоложения и оздоровления кожи.

Большинство пациентов клиники ежегодно проходят курсовую комбинированную терапию скинбустерами для поддержания качества и здоровья кожи.

Миссия Скинбустер центра – это образование и мотивация врачей к открытию центров «Качества кожи», где население страны сможет получить качественную диагностику, экспертную консультацию и профессиональное лечение и коррекцию по дерматологии и эстетической медицине у высококвалифицированных, сертифицированных специалистов.

Скинбустер центр
Скинбустер центр
Скинбустер центр
Скинбустер центр
Скинбустер центр

Заключение

Процедуры со скинбустерами Restylane® рекомендуется проводить широкому кругу пациентов с целью омоложения и улучшения качества кожи лица и других открытых частей тела (шеи, декольте, кистей) [A. Nikolis A. и соавт, 2018; Belmontesi M. и соавт, 2018].

RU/VIT/0014/0320

Источники:

  1. Адаптировано из: Руководство по дерматокосметологии / под ред. Е. Р. Аравийской, Е. В. Соколовского. СПб., 2008.

Еще по теме