Свет и маннитол Bellarti Hydrate против пигментных пятен. Что доказала наука

03.11.2021
Статья
10532
7 мин на прочтение
Статья
03.11.2021
10532
7 мин на прочтение
Разбирались, какой алгоритм нужен врачу и пациенту при постановке целей и задач и их реализации в лечении такой нозологии как гиперпигментация кожи.

Завершился конгресс «Сочетанные технологии в эстетической медицине». Научный руководитель Саломея Абальян собрала теоретические и практические доклады с максимально эффективными протоколами. На повестке очень ярко играла тема – вопросы гиперпигментации.

Когда принимается решение открыть клинику эстетической медицины, перед руководителями встает вопрос выбора оборудования. Когда с этой задачей справляются, начинается новый виток – поиск максимально успешных комбинаций, создание протоколов. На помощь приходят современные биохимические разработки, подтвержденные объективными методами исследований.

Чаще всего на первичной консультации пациент формулирует свои жалобы размыто, но на пигментные пятна в области лица жалуется четко. Спросит реальные сроки избавления от них, цену за курс лечения, не вернутся ли они.

Чтобы ответить объективно и честно на эти жизненные вопросы, придется снова заглянуть в учебники по патофизиологии и разобраться в биохимии патологического процесса образования участков гиперпигментации.

Сочетанные протоколы открывают максимально перспективные горизонты для лечения такой трудно корректируемой патологии как гиперпигментация.

Целью нашего исследования было создание доказательной базы эффективности комбинированного протокола лечения с помощью IPL-системы в сочетании с препаратом Bellarti Hydrate. Давайте вернемся в туманное утро четвертого курса и прогуляемся по кабинетам кафедры патологической физиологии.

Основы

Физиологический ответ кожи на солнечное излучение зависит от образования, распределения меланина и характеризуется типом и количеством меланина, синтезируемого в меланоцитах, и меланина, переносимого в кератиноциты.

Меланогенез – это биохимический процесс, он ведет к синтезу меланина, который начинается с аминокислоты L-тирозин, а ключевым ферментом в данном процессе является тирозиназа1.

Кожа человека содержит два типа меланина – эумеланин и феомеланин. Их соотношение определяет фототип кожи по Фитцпатрику2. Эумеланин представляет собой темный пигмент, от черного до коричневого. Цвет зависит от соотношения олигомер DHI / DHICA3. В то время как феомеланин представляет собой красный или желтый пигмент. Феомеланин преобладает в светлых фенотипах, светлых или рыжих волосах. Эумеланин обладает более выраженным фотопротективным свойством, чем феомеланин. Фактически после воздействия УФ-излучения феомеланин может легко стать фотосенсибилизирующим агентом, стимулируя перекисное окисление липидов и другие реакции, приводящие к образованию АФК (активных форм кислорода) и последующим нежелательным реакциям, в частности разрушению белков, нуклеиновых кислот и липидов4.

Под воздействием УФ-излучения кератиноциты секретируют различные цитокины и факторы роста, включая гормон, стимулирующий α-меланоциты (α-MSH). Затем α-МСГ связывается с рецептором меланокортина 1 (MC1R), присутствующим в клеточной мембране меланоцитов, и запускает несколько сигнальных путей для индукции меланогенеза5.

Гиперпигментация является патологическим состоянием кожи и характеризуется наличием очагов гипермеланогенеза, которые могут быть как малого диаметра, так и иметь склонность к слиянию в более крупные элементы.

В эстетической медицине в клинической практике встречаются такие гипермеланозы:

  • мелазма,
  • солнечное лентиго,
  • эфелиды,
  • посттравматическая (поствоспалительная) гиперпигментация.
Патология мелазмы выходит за рамки меланоцитов, и недавняя литература указывает на взаимодействия между кератиноцитами, тучными клетками, нарушениями регуляции генов, неоваскуляризацией и нарушением базальной мембраны. Аномалии базальной мембраны играют ключевую роль в патологии меланодермии. УФ-повреждение активирует MMP2 и MMP9, что способствует разрушению коллагена IV и VI типов в базальной мембране6.

Также была выявлена роль эстрогена в механизме развития мелазмы. Отмечается повышенное количество рецепторов эстрогена в дерме и рецепторов прогестерона в эпидермисе при мелазматических поражениях7. Связывание эстрогена с его рецепторами на меланоцитах и кератиноцитах может спровоцировать активность тирозиназы и MITF, что приведет к инициации продукции меланина8.

Повышенный синтез проангиогенных факторов, таких как эндотелиальный фактор роста сосудов (VEGF), приводит к разрастанию дермальных звеньев микроциркуляции. VEGF может увеличивать синтез меланина через рецепторы VEGF, которые расположены на меланоцитах9. Вызванное УФ-излучением высвобождение плазминогена из кожных сосудов также может усиливать меланогенез10.

Многофакторность заболевания затрудняет лечение и повышает вероятность его рецидива11, что непременно должно учитываться при воспроизведении протокола терапевтического лечения. Для клинической картины мелазмы характерно наличие гиперпигментированных пятен коричневого цвета, симметрично расположенных в области лица с неровными краями.

Новое в терапии

Опираясь на новые данные в патогенезе развития гиперпигментации, ученые и практикующие биохимики в ведущей фармакологической лаборатории нашей страны обратили внимание на антиоксидантные и противовоспалительные свойства маннитола, который в свою очередь является стабилизатором клеточных мембран.

В фармакологической практике известны возможности применения данного вещества для стабилизации ишемических процессов12.

В качестве биоревитализанта комбинированный препарат на основе гиалуроновой кислоты и маннитола используется для улучшения плотности тканей13. Существуют различные концентрации маннитола в препаратах гиалуроновой кислоты14. Маннитол выступает в коже с антиоксидантным эффектом, защищая окружающие ткани от риска развития аварийных контуров регуляции после светового воздействия на клетки меланоциты и тем самым обеспечивая защиту и невозможность развития поствоспалительной гиперпигментации, которая встречается в практике довольно часто15–16.

Что показывает практика

В исследование были включены пациенты, ранее не проходившие лазерных и инъекционных процедур с целью коррекции гиперпигментации за прошедшие 5–6 месяцев. Пациенты в возрасте 18–45 лет. Диагноз: мелазма (хлоазма). Код L81.1; Другая меланиновая гиперпигментация L81.4.

Диагностика проводилась при помощи аппарата лазерной допплерографии ЛДФ «Лазма Д» (ООО Научно-производственное предприятие «ЛАЗМА» Россия. Регистрационное удостоверение МЗ РФ №29/03020703/5555-03 от 11.09.2003 г). Аппарат предназначен для регистрации диагностических показателей микроциркуляции крови, микроциркуляции лимфы и амплитуд флуоресценции коферментов, участников окислительного метаболизма.

Также для фотодокументации клинических результатов был применен аппарат трехмерной визуализации поверхности кожи Antera 3D. Он предназначен для оценки состояния сосудистого компонента, интенсивности гиперпигментации, глубины залегания морщин различного калибра, ширины и количества пор, а также рельефа тканей. В данном исследовании использовалось документирование в режиме «меланин».

Монотерапия проводилась на аппарате IPL Venus Versa. Комбинированная терапия включала в себя проведение терапии IPL Venus Versa, а также препарат Bellarti Hydrate, в состав которого входит натрия гиалуронат и маннитол 0,49 мг.

1-я группа контроля: 15 пациентов с гиперпигментацией, которым будет проводиться терапия при помощи IPL-системы (515 нм): 1 раз в 10–14 дней № 3.

2-я группа контроля: 15 пациентов с гиперпигментацией, которым будет проводиться комбинированный протокол, включающий воздействие IPL (515 нм) и препаратов на основе гиалуроновой кислоты и маннитола Bellarti Hydrate в технике депонирования в одну процедуру: 1 раз в 10–14 дней № 3.

Синергизм во благо

Монотерапия IPL

Монотерапия IPL
До терапии
Монотерапия IPL
После терапии
Монотерапия IPL
До терапии
Монотерапия IPL
После терапии
Монотерапия IPL
До терапии
Монотерапия IPL
После терапии

Комбинированный протокол IPL и Bellarti Hydrate

Комбинированный протокол IPL и Bellarti Hydrate
До терапии
Комбинированный протокол IPL и Bellarti Hydrate
После терапии
Комбинированный протокол IPL и Bellarti Hydrate
До терапии
Комбинированный протокол IPL и Bellarti Hydrate
После терапии
Комбинированный протокол IPL и Bellarti Hydrate
До терапии
Комбинированный протокол IPL и Bellarti Hydrate
После терапии

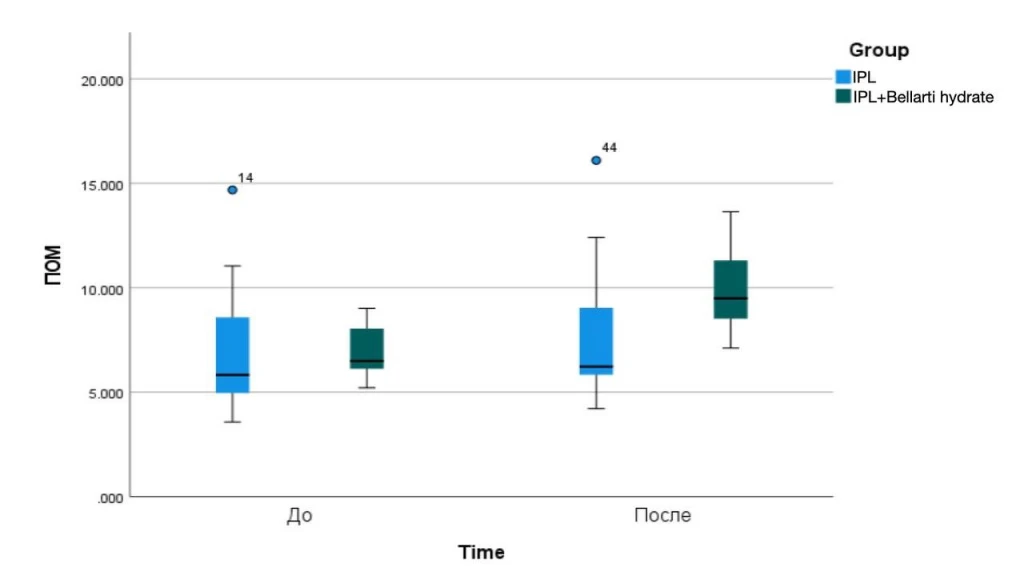
Показатель окислительного метаболизма значимо повышается в группе исследуемых, которым проводилась комбинированная терапия IPL Venus Versa и препаратом Bellarti Hydrate. Это говорит в том числе и об улучшении микроциркуляции. Это указывает на то, что внедрение в дерму гиалуроновой кислоты и маннитола обеспечило более стойкую адаптацию дермального слоя к проведению аппаратных процедур, в данном случае коррекции гиперпигментации.

Улучшается физиологическое функционирование микроциркуляторнотканевых систем лица. В то же время у пациентов, которым проводилась монотерапия IPL, значения показателя окислительного метаболизма и других измеряемых параметров (скорости кровотока, лимфотока) существенно не менялись.

Данные по результатам функциональной диагностики на аппарате «Лазма-Д» представлены на рисунках 1, 2, 3, 4, 5.

Результаты функциональной диагностики
Результаты функциональной диагностики
Результаты функциональной диагностики
Результаты функциональной диагностики
Результаты функциональной диагностики
Данные по результатам функциональной диагностики на аппарате «Лазма-Д»

Перспективы

По результатам данного исследования терапевтический эффект наблюдался во всех исследуемых группах. Однако значимое повышение показателей окислительного метаболизма наблюдается исключительно в группе пациентов, которым проводился сочетанный протокол IPL и Bellarti Hydrate. Это говорит о том, что комбинированный протокол терапии наиболее эффективен и безопасен для коррекции гиперпигментации. Такая терапия позволяет обеспечить физиологическую поддержку кожи при проведении IPL-терапии с помощью препарата Bellarti Hydrate.

Что может быть лучше для доктора и его пациентов, когда сдержанный оптимизм от нового эффективного препарата в сочетании с физиотерапевтическими методами воздействия обретает подтверждение в аналитически емких диаграммах и на экране объективизирующих диагностических машин.

Будущее за наукой.

Источники:

  1. Solano F. Melanins: Skin pigments and much more-types, structural models, biological functions, and formation routes. New J. Sci. 2014:498276. doi: 10.1155/2014/498276
  2. Melanin content and distribution in the surface corneocyte with skin phototypes.Lu H, Edwards C, Gaskell S, Pearse A, Marks R Br J Dermatol. 1996 Aug; 135(2):263-7.
  3. Elucidation of the hierarchical structure of natural eumelanins. Xiao M, Chen W, Li W, Zhao J, Hong YL, Nishiyama Y, Miyoshi T, Shawkey MD, Dhinojwala A J R Soc Interface. 2018 Mar; 15(140).
  4. Pheomelanin-induced oxidative stress: bright and dark chemistry bridging red hair phenotype and melanoma.Napolitano A, Panzella L, Monfrecola G, d'Ischia MPigment Cell Melanoma Res. 2014 Sep; 27(5):721-33.
  5. Cellular mechanisms regulating human melanogenesis. Park HY, Kosmadaki M, Yaar M, Gilchrest BA Cell Mol Life Sci. 2009 May; 66(9):1493-506.
  6. Kwon S, Hwang Y, Lee S, Park K. Heterogeneous Pathology of Melasma and Its Clinical Implications. Int J Mol Sci. 2016;17:824. [PMID: 27240341]
  7. ang, YH, Lee JY, Kang HY, et al. Oestrogen and progesterone receptor expression in melasma: an immunohistochemical analysis. J Eur Acad Dermatol Venereol. 2010;24:1312-1316.
  8. Cohen PR. Melasma treatment: A novel approach using a topical agent that contains an anti-estrogen and a vascular endothelial growth factor inhibitor. Med Hypotheses. 2017;101:1-5.
  9. Kim EH, Kim YC, Lee ES, Kang HY. The vascular characteristics of melasma. J Dermatol Sci 2007;46:111-6.
  10. Morelli JG, Norris DA. Influence of inflammatory mediators and cytokines on human melanocyte function. J Invest Dermatol 1993;100:191S-5S.
  11. Kwon S, Hwang Y, Lee S, Park K. Heterogeneous Pathology of Melasma and Its Clinical Implications.Int J Mol Sci.2016;17:824.
  12. Willerson JT, Powell WJ Jr, Guiney TE, Stark JJ, Sanders CA, Leaf A. Improvement in myocardial function and coronary blood flow in ischemic myocardium after mannitol. J Clin Invest. 1972 Dec;51(12):2989-98. doi: 10.1172/JCI107126.
  13. Taieb M, Gay C, Sebban S, Secnazi P. Hyaluronic acid plus mannitol treatment for improved skin hydration and elasticity. J Cosmet Dermatol. 2012 Jun;11(2):87-92. doi: 10.1111/j.1473-2165.2012.00608.x.
  14. Taieb M, Gay C, Sebban S, Secnazi P. Hyaluronic acid plus mannitol treatment for improved skin hydration and elasticity. J Cosmet Dermatol. 2012 Jun;11(2):87-92. doi: 10.1111/j.1473-2165.2012.00608.x.
  15. Lueangarun S, Namboonlue C, Tempark T. Postinflammatory and rebound hyperpigmentation as a complication after treatment efficacy of telangiectatic melasma with 585 nanometers Q-switched Nd: YAG laser and 4% hydroquinone cream in skin phototypes III-V. J Cosmet Dermatol. 2021 Jun;20(6):1700-1708. doi: 10.1111/jocd.13756.
  16. Beylot C, Raimbault-Gerard C. Les hyperpigmentations post-inflammatoires succédant à des actes esthétiques [Post-inflammatory hyperpigmentation occuring after cosmetic procedures]. Ann Dermatol Venereol. 2016 Dec;143 Suppl 2:S33-S42. French. doi: 10.1016/S0151-9638(18)30082-6.

Еще по теме

Онаботулинотоксин А для коррекции платизмы: новый мета-анализ
Новость
Онаботулинотоксин А для коррекции платизмы: новый мета-анализ
инъекции
ботулотоксин
шея и декольте
Микроигольчатый RF + тулиевый лазер эффективнее монотерапии
Новость
Микроигольчатый RF + тулиевый лазер эффективнее монотерапии
аппараты
лазеры
микроигольчатый рф-лифтинг
нижняя треть
шея и декольте
Что влияет на удовлетворенность после фенол-кротонового пилинга
Новость
Что влияет на удовлетворенность после фенол-кротонового пилинга
гиперпигментация
осложнения
пилинги
Исследована эффективность транексамовой кислоты в лечении пигментации
Новость
Исследована эффективность транексамовой кислоты в лечении пигментации
гиперпигментация
инъекции
бады
наружные препараты